鄧見教授課題組論文發表在Journal of Fluid Mechanics
發布者:鄧見發布時間:2025-04-30瀏覽次數:10
浙江大學鄧見教授團隊發表論文:仿生拍翼在密度分層流體中的最佳斯特勞哈爾數 
研究背景:基于對自然界中鳥類和魚類等生物的觀察,仿生拍動推進近年來逐漸發展為流體力學領域中一個重要的研究方向。仿生拍動研究不僅能夠促進流體力學、生物力學等學科的發展,而且可以推動小型、環保、高效的飛行器和航行器的研發。目前大多數仿生拍動研究都局限于密度恒定的均質流場環境。然而,由于溫度、懸浮顆粒、鹽度等因素分布不均勻的原因,大氣、海洋、湖泊等環境的密度本質上呈分層分布。尤其是,海洋中存在著大量密度梯度較大的密度躍層。已有研究表明,結構物在密度分層環境中的水動力學特征和尾跡結構與均質流場結果相比有著顯著區別。
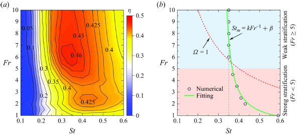
自然界中采用拍動推進的生物普遍在斯特勞哈爾數0.2 < St < 0.4的范圍內效率達到最高。受這一現象啟發,本論文基于Boussinesq假定求解Navier–Stokes方程和密度輸運方程,對同時做俯仰和升沉運動的拍翼在密度分層流中的推進性能開展了一系列數值模擬研究。結果表明,密度分層效應可以有效提高拍翼的推力和效率。而且,拍翼在密度分層流中的最佳斯特勞哈爾數Stm與表征分層強度的弗勞德數Fr成反比關系。在強分層環境下,密度分層流的Stm遠大于均質流的典型范圍0.2 < St < 0.4。該論文通過對比數值模擬數據和理論擬合結果,揭示了拍翼的拍動頻率與密度分層流體的浮力頻率之間的共振機制是導致上述現象的主要原因。此外,論文對拍翼誘導的流場特征進行了深入的研究,并在參數空間(St, Fr)內描繪出了尾跡分布圖。結果顯示,與均質流中的尾跡相比,拍翼在密度分層流中的流場結構主要表現為不同強度、不同范圍的內波結構。論文中的數值模擬結果與經典的Lighthill理論吻合良好,而且捕捉到了傳統線性理論無法預測的內波相互作用等非線性現象。該論文研究成果可為仿生拍翼推進在密度分層等復雜流場環境中的設計和運行提供啟示。 
圖4. (a)拍翼推進效率在參數空間(St, Fr)的分布云圖;(b)仿生拍動推進在不同密度分層強度下的最佳斯特勞哈爾數,散點表示數值模擬結果,實線表示理論擬合結果,研究表明最佳斯特勞哈爾數Stm與弗勞德數Fr成反比關系. 
圖21. 仿生拍翼在強分層流動條件下誘導的渦量場:(a)-(f)對應不同斯特勞哈爾數St.
該研究成果以“Optimal Strouhal numbers for oscillatory propulsion in density stratified fluids”為題發表在流體力學頂刊Journal of Fluid Mechanics。浙江大學航空航天學院博士后王佳東是該文第一作者,鄧見教授是該論文通訊作者。該研究得到了國家自然科學基金資助。 原文鏈接:https://doi.org/10.1017/jfm.2025.283 |